(No Longer) Exclusive! Illinois: 2018 MLR Rebate Payments (& potential 2019 rebates)

(SIGH) OK, apparently the Kaiser Family Foundation has been working on the same project as I have for the past couple of weeks, so this is no longer "exclusive"...ah, well...

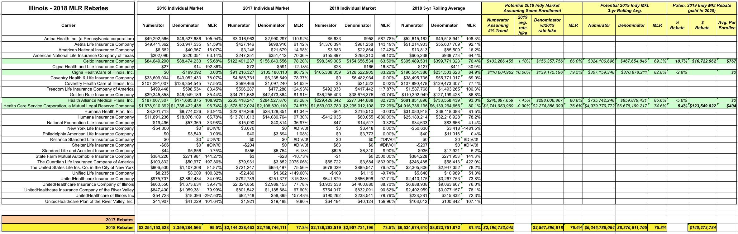
MLR rebate payments for 2018 are being sent out to enrollees even as I type this. The data for 2018 MLR rebates won't be officially posted for another month or so, but I've managed to acquire it early, and after a lot of number-crunching the data, I've recompiled it into an easy-to-read format.

But that's not all! In addition to the actual 2018 MLR rebates, I've gone one step further and have taken an early crack at trying to figure out what 2019 MLR rebates might end up looking like next year (for the Individual Market only). In order to do this, I had to make several very large assumptions:

  • First, I assumed total enrollment for each carrier remains exactly the same year over year.
  • Second, I assume the average 2019 rate changes I recorded for each carrier last fall are accurate.
  • Third, I assume 2019 is seeing a 5% medical trendline on average...that is, that total 2019 claims per enrollee will be 5% higher than 2018's.

All three of these are very questionable, of course, but they at least provide a baseline.

All that being said, here's what the payments for 2018 going out this month look like in Illinois:

On the surface, this doesn't look too noteworthy...Illinois carriers will be paying out $7.4 million in large group market rebates (down from $10.7 million last year), $6.5 million on the small group market (up from $2.5 million) and $5.5 million on the Individual market, a substantial-but-not-shocking increase over last year's rebates.

HOWEVER, check out the potential rebates next year. Celtic (Centene/Ambetter), which is already the source of the entire $5.5 million this year, only averaged a 76.4% MLR from 2016 - 2018, and they only raised their premiums by 1.1% for 2019. Assuming a 5% average medical trend, they could potentially fall to as low as 66% for 2019...which would give them a 3-year average of under 70%.

It's HCSC (Blue Cross Blue Shield of Illinois) which I'd be watching even more closely, however: They just barely squeaked over the 80% average threshold for 2018, but that was only due to a terrible year in 2016. Once that drops off, they're looking at combining 74.9% in 2017, 72.3% in 2018 and (potentially) 76.6% this year. If so, that'd drop them down to 74.6% for the 3-year average...in which case they could have to pay out as much as $123 million next year:

AGAIN: There's absolutely no guarantee that things will play out this way. It's possible that none of these carriers will make MLR payments next year, or only some of them will, or the amounts will be smaller. These 2019 projections are pure speculation on my part based on a number of big assumptions.

Advertisement